Chapter 6 Non Linear Regression
6.0.1 LOESS (Local Regression)
Creating a data set
set.seed(5366)
x=runif(1000,0,2*pi)
y=sin(x)+0.1*rnorm(1000)
mydata=data.frame(x,y)
plot(y~x,data=mydata)
trainsample=function(dataset,trainprop){
return(sample(nrow(dataset),
round(nrow(dataset)*trainprop,0)))
}
train=trainsample(mydata,0.7)Loess
model=loess(y~x,data=mydata[train,],
control=loess.control(surface="direct"))
plot(model)
plot(model$x,model$y)

Predicting values on test set

## [1] 0.9903859
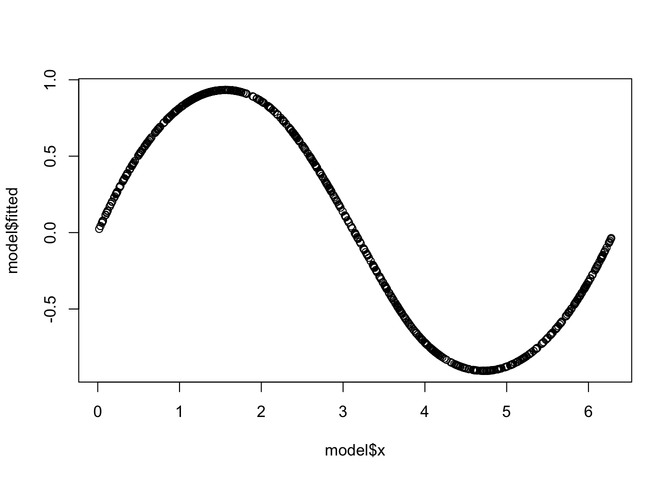
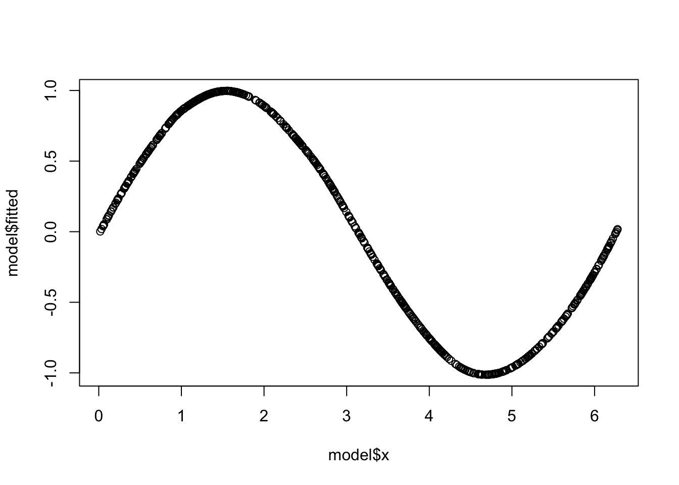
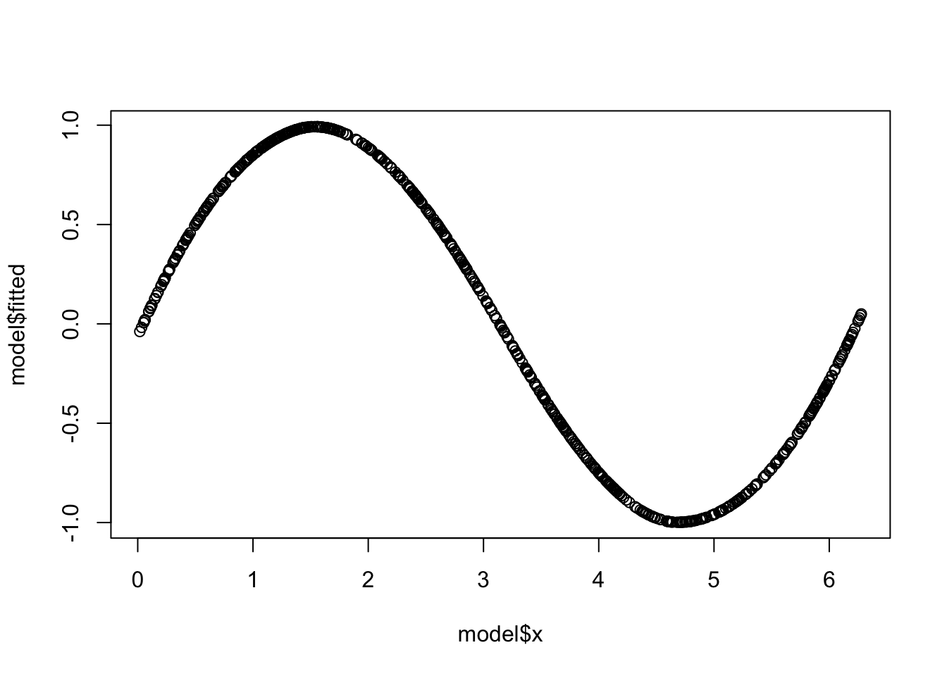
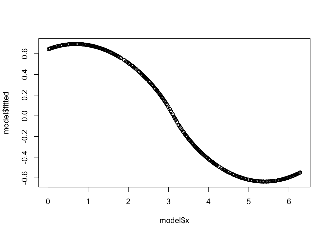
Effect of Span/Bandwidth
span = 0.75 (default)
model=loess(y~x,data=mydata[train,],
control=loess.control(surface="direct"),
span=0.75)
plot(model$x,model$fitted)
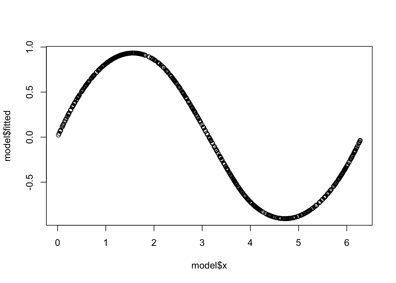
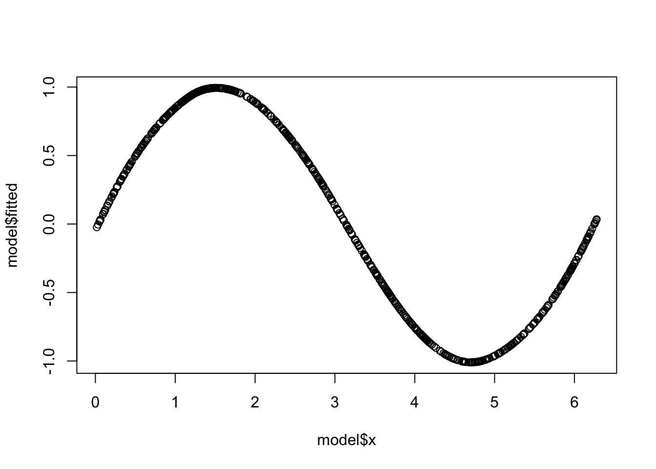
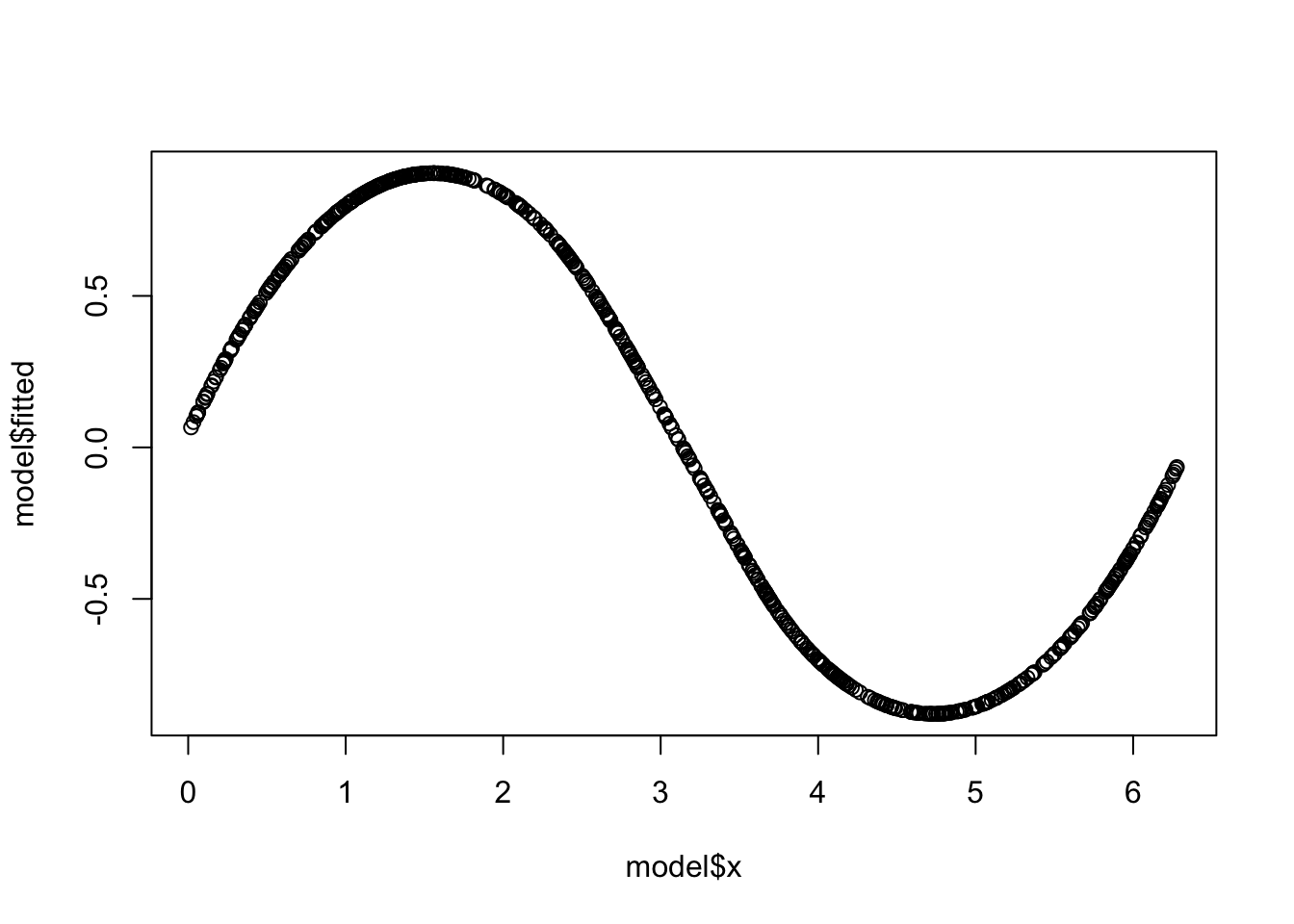
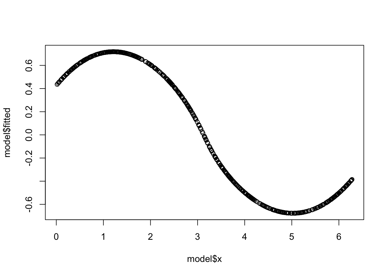
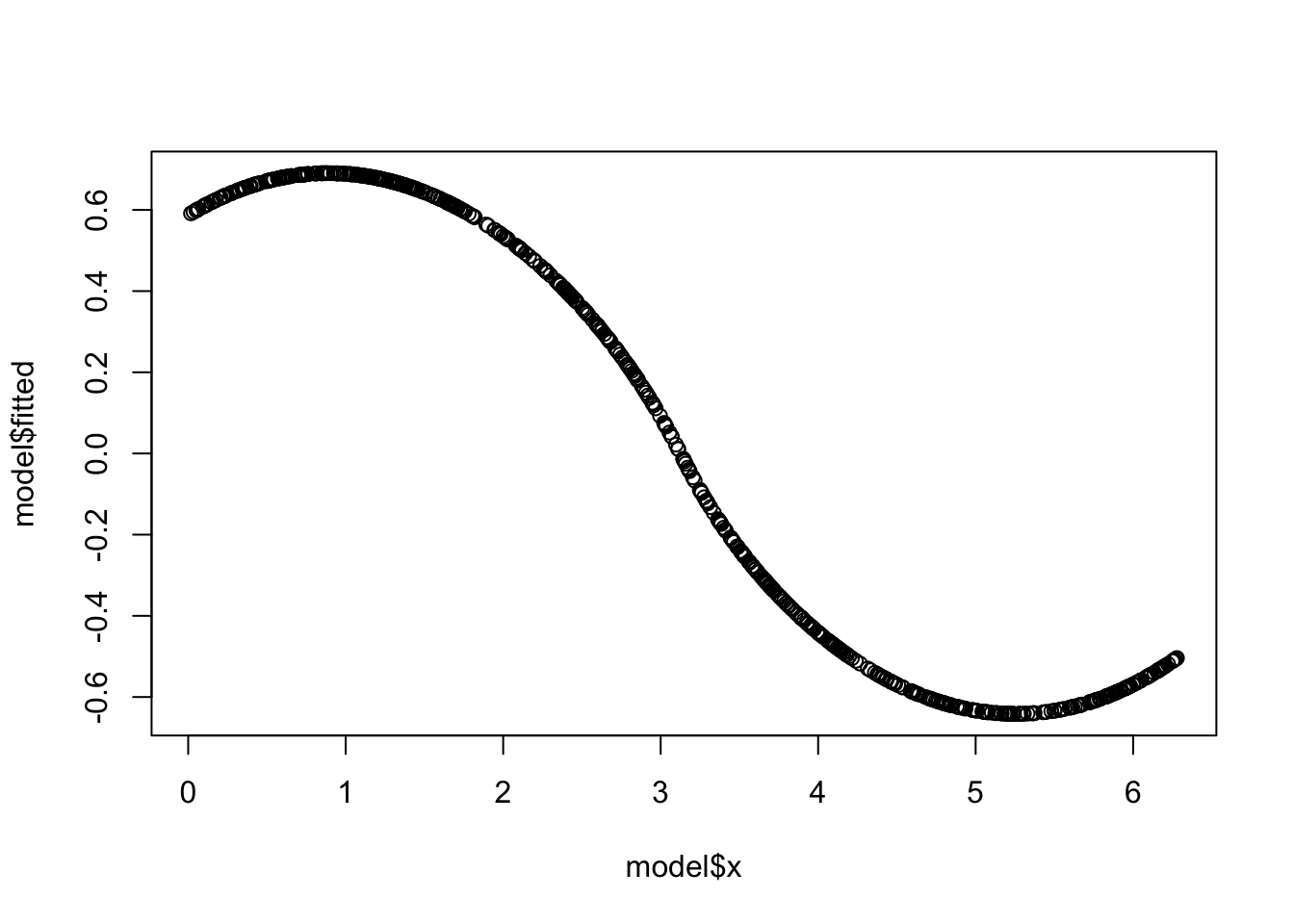
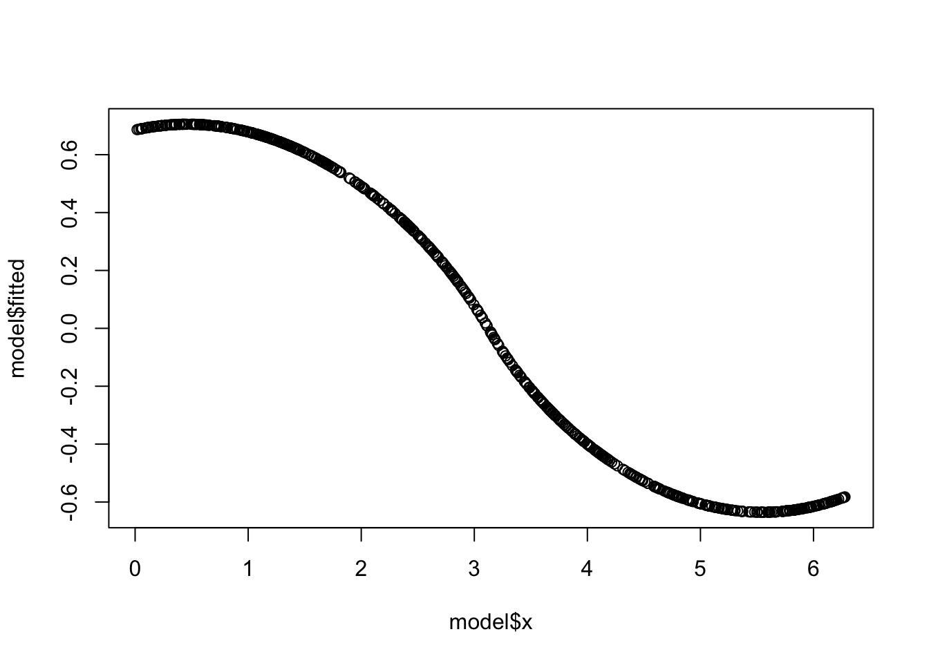
temp=function(s){
model=loess(y~x,data=mydata[train,],
control=loess.control(surface="direct"),
span=s)
plot(model$x,model$fitted)
}Try plotting the loess models using the temp function created. Use the following values


























6.0.2 Weighted k-Nearest Neighbors
library(kknn)
fit.sine = train.kknn(y~x,data=mydata)
yhat=(kknn(y~x,train=mydata[train,],test=mydata[-train,],
k=11,kernel="optimal",distance=2))$fitted.values
plot(mydata$y[-train],yhat)
## [1] 0.98947

6.0.3 Support Vector Regression
library(e1071)
model=svm(y~x,data=mydata[train,])
yhat=predict(model,newdata=mydata[-train,])
plot(mydata$y[-train],yhat)
## [1] 0.9904471

6.0.4 Neural Networks
## # weights: 31
## initial value 466.507980
## iter 10 value 151.208253
## iter 20 value 80.529881
## iter 30 value 46.578187
## iter 40 value 12.647240
## iter 50 value 7.738789
## iter 60 value 7.653897
## iter 70 value 7.649360
## iter 80 value 7.646350
## iter 90 value 7.642754
## iter 100 value 7.641623
## final value 7.641623
## stopped after 100 iterations

## [,1]
## [1,] 0.9905847


